"bb216_COm"_亚洲va视频_国产三级99_欧亚无码_亚洲无码福利导航
公司概況
產品系列
產品編碼
系 列 圖
產品使用說明
新聞動態(tài)
企業(yè)文化
聯(lián)系方法
返回主頁
ENGLISH
5L超小型
7L超小型
標 準 型
長壽命型
低阻抗型
耐高溫型
寬 溫 型
雙極性型
特 殊 型
長 壽 命
基板自立型
音頻電容
充電樁電容
固態(tài)電容
貼 片
地 址:
丹陽市高新區(qū)竹林路99號;
丹陽南門外大街51弄46號
電 話:
0511-86522592 86525322
傳 真 :
0511-86519375
郵 件:
fala@chinafoai.com
market@chinafoai.com
網(wǎng) 址:
m.madeinkat.com
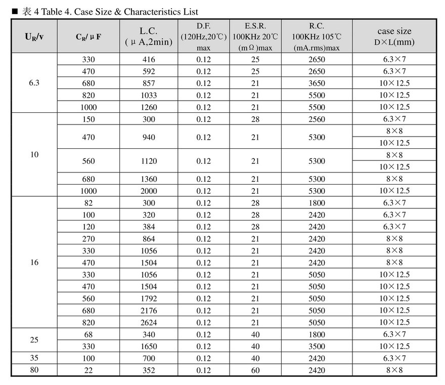
SM型 固態(tài)電容 Solid state Capacitor
版權所有?江蘇法拉電子有限公司-- 鋁電解電容器專家
電 話:0511-86522592 86525322;傳 真:0511-86519375;地 址:丹陽南門外大街51弄46號
郵 件:fala@chinafoai.com,market@chinafoai.com;網(wǎng) 址:m.madeinkat.com